空气污染物对全球健康造成重大威胁,在过去的二十年里,由于工业化和气候变化等因素,与空气污染物相关的疾病死亡率上升了66%。然而,由于传统观察性研究中的局限性,关于空气污染物与呼吸系统疾病之间的关系存在相互矛盾的研究结果,其在基因层面的致病病理生理机制也尚不明确。
近日,中心张挪富教授团队在国际一流期刊《Ecotoxicology and Environmental Safety》(JCR Q1,IF=6.2)发表了题为“Genetic evidence for the causal effects of air pollution on the risk of respiratory diseases”的论文。该团队利用大样本公共数据库,通过单变量孟德尔随机化分析(UVMR)、多变量孟德尔随机化分析(MVMR)、共定位分析以及富集分析等多种方法阐明了不同类型空气污染物与呼吸系统疾病之间在基因层面的因果关系,并强调了基因甲基化在空气污染物致病过程中的重要作用,揭示了其致病过程中的基因信号通路。

在该研究中,团队首先将多种空气污染物(PM2.5,PM2.5-10,PM10,NO2,NOX)作为暴露,将COPD、哮喘、肺炎、肺部肿瘤、肺栓塞、肺动脉高压(PAH)、睡眠呼吸暂停(OSA)、特发性间质性肺炎、支气管扩张等9类常见呼吸系统慢性疾病及其不同亚型作为结局,使用UVMR探索空气污染物与呼吸系统疾病的因果关系,并且使用MVMR调整污染物之间及香烟暴露潜在的混杂因素以及空气污染物之间的相互影响以增加结果的可靠性;其次,通过共定位分析,探索甲基化在污染物导致不同呼吸系统慢性疾病中的作用;最后,通过对空气污染物暴露和疾病结果显著相关的基因变异进行富集分析,明确其可能的基因通路。(图1)

图1 研究流程图
UVMR分析的结果显示,PM2.5与早发型COPD(OR=2.289,p=0.041)、肺炎(OR=1.319,p=0.045)、肺栓塞(OR=1.933,p=0.047)和肺癌(OR=1.006,p=0.013)的风险增加有关;PM2.5-10与肺癌(OR=1.009,p=0.017)的风险增加有关;PM10与肺炎(OR=1.296,p=0.001)和支气管扩张症(OR=1.436,p=0.047)的风险增加有关。NO2暴露也增加了患肺癌(OR=1.006,95%CI=1.002–1.010,p=0.005)和成人哮喘(OR=1.185,p=0.012)的风险。(图2)

图2 UVMR分析结果
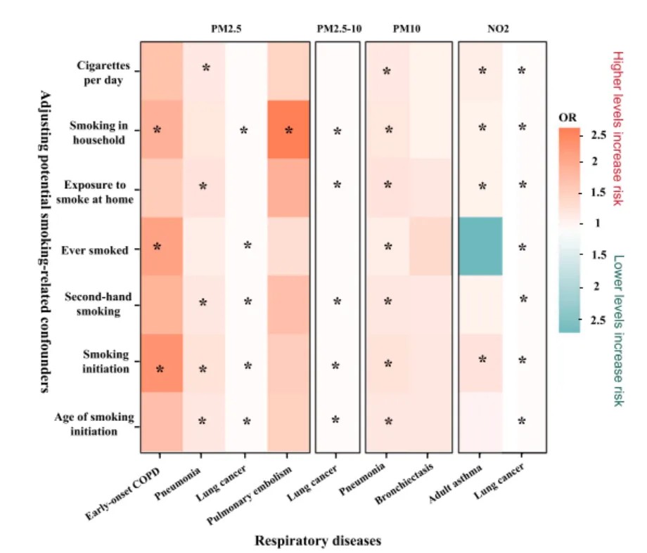
MVMR分析结果显示,在调整香烟暴露潜在的混杂因素后,污染物与呼吸系统疾病发病风险仍密切相关(图3);进一步校正不同空气污染物之间的相互影响后,PM2.5与早发型COPD(OR=5.967,p=0.047)、PM10与肺炎(OR=1.495,p=0.015)的风险增加相关(图4)。

图3 MVMR分析校正香烟暴露混杂因素的结果

图4 MVMR分析校正不同污染物之间影响的结果
共定位分析结果显示,空气污染物相关的甲基化CpG位点cg11386376、cg11846064、cg18612040和cg19765378与早发型COPD风险增加有关。其中,cg11386376位点(定位于基因c1orf175)的甲基化显示出99.3%的后验概率与早发型COPD共享因果变异(rs1616691);而未发现PM10相关CpG位点与肺炎风险升高有关(图5)。

图5 共定位分析结果
富集分析结果显示,PM2.5和早发型COPD相关的基因富集在十条基因通路上,其中主要包括细胞生长、代谢、存活和稳态调节等相关的途径。(图6)

图6 富集分析结果
综上所述,该研究明确了不同空气污染物在不同呼吸系统疾病中起到的关键性作用,尤其是PM2.5与PM10在导致早发型COPD与肺炎发生的决定性作用;同时该研究证明了cg11386376位点(定位于基因c1orf175)的甲基化是PM2.5导致早发型COPD可能的分子学机制。这些发现从基因层面揭示了各种空气污染物之间复杂的相互作用及其与呼吸道疾病的显著关联,并从表观遗传学和基因-环境相互作用的角度为呼吸系统疾病的复杂发病机制提供了新的视角。该研究的结论为有针对性的监管措施和公共卫生干预措施以减少有害空气污染物的暴露提供了理论依据,并为空气污染物导致的呼吸道疾病提供了潜在治疗靶点。
该研究通讯作者为广州医科大学附属第一医院、广州呼吸健康研究院、国家呼吸医学中心张挪富教授和吴康主治医师,广州医科大学附属第一医院研究生吴岩娟、张雨婷、王京存为论文并列第一作者。
文章信息:
Yanjuan Wu#, Yuting Zhang#, Jingcun Wang #, Qiming Gan, Xiaofen Su, Sun Zhang, Yutong Ding, Xinyan Yang, Nuofu Zhang*, Kang Wu*. Genetic evidence for the causal effects of air pollution on the risk of respiratory diseases. ECOTOX ENVIRON SAFE. 2025; 290 117602. doi: 10.1016/j.ecoenv.2024.117602
【通讯作者】

张挪富 教授
*广州医科大学附属第一医院党委委员
*二级教授、主任医师 博士生导师
*国务院特殊津贴专家 中央保健会诊专家 广东省保健专家
*国家呼吸医学中心副主任
*中华医学会呼吸分会睡眠呼吸障碍学组副组长
*中国医师协会呼吸分会肺血管病工作委员会委员
*中国卒中学会睡眠分会副主任委员
*广东省医学会呼吸病分会常委、睡眠呼吸学组副组长
*广东省医师协会睡眠医学专业委员会主任委员
*广东省精准医学应用学会睡眠睡眠障碍分会主任委员
*广东省静脉血栓和肺栓塞防治联盟主席
*中国睡眠呼吸联盟主席
*广东支援武汉协和西院ICU医疗队领队
*武汉协和西院国家援鄂医疗队专家组组长
吴康 主治医师
国家留学基金委(CSC)公派美国亚利桑那大学联合培养医学博士
广州医科大学附属第一医院硕士研究生导师
广州市卫生健康委员会优秀人才
广州医科大学附属第一医院南山新锐人才
【第一作者】

吴岩娟 硕士研究生
*广州医科大学2023级硕士
*广州医科大学2024年国家奖学金
*广州医科大学2024年度优秀研究生,优秀研究生干部

张雨婷 硕士研究生
广州医科大学2023级硕士
广州医科大学2024年度优秀研究生

王京存 硕士研究生
*广州医科大学2023级硕士
*广州医科大学优秀研究生
*广州医科大学2023年国家奖学金