致病呼吸道病原体常能侵入人体呼吸道进行繁殖导致呼吸道感染,其中下呼吸道感染是全球最致命的传染病,是引起死亡的第四大死因。
自2000年以来,我国大力发展全国传染病监测工作,构建了数百个国家流感中心的网络实验室、哨点医院,覆盖13亿多人口。从监测病原体角度无疑已经取得了巨大成功,也为我们及时发现新发病原体发挥了重要作用。但临床一线对呼吸道病毒规律的掌握及对临床诊疗的需求随着多次疫情大事件日益增加,目前流行病的监测网在基层医院还无法实现全面覆盖,也缺乏病毒感染性疾病的临床诊断能力。在公共卫生方面,病原体监测范围较单一,无法满足多种呼吸道病原体的监测需求;无法分析不同周期病毒的毒力和不同季节(死亡和住院)疾病的严重程度。鉴于此,国家呼吸系统疾病临床医学研究中心病毒诊断研究分中心为了更好的与国家CDC等已有监测工作相互配合、相互补充,建立了面向临床的常见呼吸道病原体监测和诊疗技术推广网络。该分中心是依托广州医科大学附属第一医院/广州呼吸健康研究院/呼吸疾病国家重点实验室钟南山院士团队杨子峰教授课题组为核心骨干力量,团结了全国31个省份的500余家合作单位、50多家核心医院,于2021年更进一步组建了国家临床中心病毒诊断区域分平台,经过精诚合作,已取得一系列颇具价值的学术成果。
主要工作一:总结了中国南方15省份16种常见呼吸道病原体流行规律
本平台通过收集2018-2020年期间中国南方地区(广东、湖南等15个省份)的134,552例急性呼吸道感染病例的大数据,进行了16种常见呼吸道病原体的流行学特征分析。该研究成果于英国传染病学经典杂志Journal of Infection(IF:6.072)发表。通讯作者杨子峰教授、 江梅副研究员,第一作者分别是梁靖怡博士、王柱锋博士,刘勇博士。
规律1:副流感病毒(PIV)的检出率在婴幼儿、儿童、老人群体(0 - 4岁、5- 14岁和65 - 105岁年龄组)逐渐增加;而鼻病毒(RHV)在儿童及青壮年(5- 14岁和15 - 49岁年龄组)逐渐增加;这需引起临床医生警惕。

图1.2018至2020年之间多种病毒在不同年龄段的检出率变化
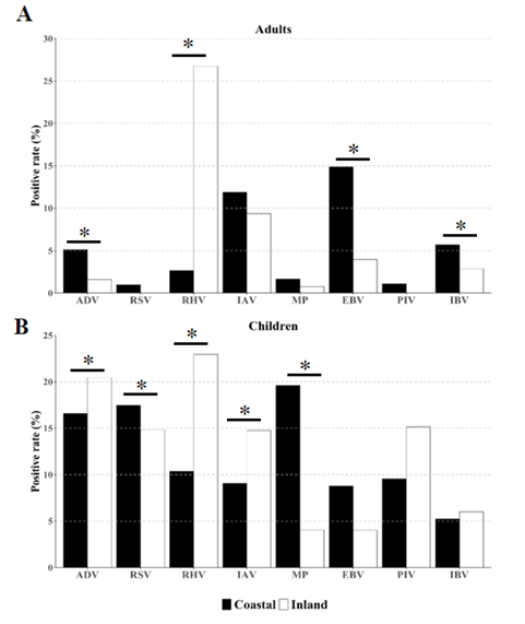
规律2:无论是成人还是儿童,内陆城市的RHV检出率均比内地高。可能是由于在内陆地区传播的RHV具有多种血清型,且传播力可能比沿海地区更强所致。

图2. 多种病毒在沿海和内陆城市的检出率比较
规律3:腺病毒(ADV)最常与其他呼吸道病毒合并感染,而甲、乙流感病毒则较少。其中在上呼吸道感染患者中,ADV和RHV复合感染较多,高达36.36%。

图3. 上、下呼吸道感染的病毒共感染情况
主要工作二:揭示针对新型冠状病毒的防控措施对广东省常见呼吸道病毒流行造成总体抑制的影响
在新冠流行后次年,杨子峰教授团队揭示了针对新型冠状病毒的防控措施对广东省常见呼吸道病毒流行造成总体抑制的影响。该研究成果于欧洲著名微生物杂志frontier in microbiology(IF:5.640)发表。通讯作者是何建行教授,杨子峰教授,韩子天教授,梁耀铭教授,第一作者分别是曾志奇博士、关文达博士、刘勇博士、林正诗博士、梁文华博士、梁靖怡博士。
发现1:虽然呼吸道病毒在防控严格时期整体阳性率处于较低水平,但在防控措施放松和社交活动恢复不久后,部分常见呼吸道病毒可能重新恢复常态流行,但活跃程度依然不如大流行前。

图4. 2018年1月至2020年12月每周呼吸道病毒检测率
发现2:流感病毒活跃程度在防控措施影响下得到了明显抑制,并一直持续到 2020 年底。但是对于其他呼吸道病毒而言,即使在严格防控期间仍保持流行,尤其是鼻病毒。我们的研究表明,针对 COVID-19的防控措施对常见呼吸道病毒有不同的影响,有可能与病毒的传播途径和防控措施的影响程度密切相关。

图5. 8种呼吸道病毒在2018-2020年每月检测率,包括COVID-19疫情发生之前、期间和之后及工作场所和学校复课前后
呼吸道病原体监测固然重要,在新发传染病新型冠状病毒疫情冲击下,建立先进的疫情预测预警系统是当务之急,实现尽早发现传染病、准确分析传染病蔓延发展趋势。
主要工作3:成功建立新冠预测模型,为我国防控提供重要参考
在2020年初以来,杨子峰团队建立了优化的传播动力学模型及人工智能LSTM模型对新型冠状病毒进行预测。该研究发表在Journal of Thoracic Disease(图6),截至2021年12月,他引次数已达430次,已归入学术领域中最优秀的1%之列,已经成为印证我国正面干预政策的重要学术成果,为2020年年初全国新冠疫情研判提供科学支撑。

图6. 新冠预测文章
小结:
呼吸道病原体由于受到天气、人为防控等因素影响其流行规律,常规的监测已不能完全满足。通过全国各临床合作单位的紧密合作,大数据呼吸道病原体的监测已更为贴近一线实际。为呼吸道感染疾病预防、诊治提供及时准确的信息的需求越发紧迫,在新冠爆发形势下,我们也深有感触,十分有必要进一步开展以临床监测和诊疗新需求为导向的创新基础研究,更大范围的大数据呼吸道病原监测,积极开展交叉学科融合,使用人工智能等先进的技术建立呼吸道病原体的预测预警系统,这将有利于大幅提高基层临床医生对呼吸道病原体感染疾病的诊治水平,助力政府对呼吸道病原体的防控决策,从大数据监测迈向预警预测很可能是新冠后时代的新动态、新需求、新命题。
【新型冠状病毒疫情科学预测系统】

【及时转化为开放性AI预测平台,实现疫情预警信息共享】


杨子峰教授为有关领导介绍我院自主研发的新冠预测系统
【病毒诊断研究和推广区域平台建设进展概况】
2020年11月,为进一步解决全国范围内基层的呼吸道病毒诊断难题,做好“早发现、早报告、早治疗”,“国家呼吸系统疾病临床医学研究中心--病毒诊断研究和推广区域平台”(以下简称“区域平台”)宣布成立。来自全国各地的27家三甲医院成为首批建设单位,共同推动中国呼吸道病毒大数据的开发与应用,以及适宜病毒诊断技术在基层医院的普及。次年11月,纳入第二批18家成员建设单位进一步扩大呼吸道病毒诊断与研究技能辐射。

平台将充分发挥自身科研创新及公共疫情防控经验等方面的优势,对公众展开健康及疫情防控知识教育;加强基层卫生人员呼吸道传染病防控流程管理意识、技能培训;提升基层新冠筛查能力,构建立体筛查网络,加强新冠患者的预后监测与随访。“猎鹰号”气膜实验室和集装箱/车载实验在现阶段“动态清零”的防疫攻坚中继续发挥病毒检测的关键作用。平台逐步健全所有相关的检测能力,带动提升突发疫情筛查应急能力,铺开搭建生物样本库、SPF实验动物中心、病原生物学与流行病学研究平台、疫苗快速研发与评估技术平台、人源化动物模型研发平台等。

【致谢】
以上研究进展和平台建设阶段性成果的获得,有赖各方支持。特此向支持中心平台建设的主管部门以及协同分中心、网络单位、病毒诊断研究区域平台建设单位等表示感谢,让我们携手共进,共赢未来。