随着CT的普及,肺结节的发现急剧增加。目前,对肺结节的临床管理依赖于重复的LDCT/CT扫描或有创性检查,可能导致大量过度诊疗,现阶段迫切需要一种准确的非侵入性检查来识别恶性结节,从而减少非必要的侵入性检查。广州医科大学附属第一医院(国家呼吸医学中心)何建行教授团队联合基准医疗,以及南方医科大学南方医院、中山大学附属第一医院、中南大学湘雅附二院、北京宣武医院等14家临床研究中心,共同研发并验证了国际首个血浆多基因甲基化肺结节鉴别诊断工具,相关成果近日正式发表于国际著名医学期刊 The Journal of Clinical Investigation(影响因子:11.86),何建行、范建兵及梁文华教授为共同通讯作者。


原文链接:https://www.jci.org/articles/view/145973
肺结节精准诊断新技术——DNA甲基化检测:PulmoSeek
通过“抓取”血浆中来自病灶的DNA片段(ctDNA)及其特异性的改变,可以帮助判断肺部结节是否为恶性,从而可以在影像学的基础上增加判断的把握;而甲基化具有早期出现、位点多等优点,其检出肿瘤的灵敏度超过了既往的标志物。研究团队开发独有的高效单链DNA分子连接技术AnchorIRIS,将原始DNA到终文库的转化效率提高到20-30%,是常规甲基化测序技术的10倍以上。
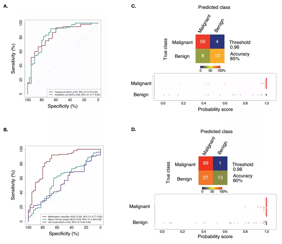
本项目基于389例5-30mm肺结节阳性患者血浆样品,通过靶向DNA甲基化测序,开发了PulmoSeek肺结节良恶性诊断模型,并在140例血浆样品集中进行了独立验证。通过将深度学习以及传统机器学习算法相结合,成功开发出一个具有100个甲基化标志物的模型PulmoSeek,并对其进行了多维度验证:该模型在140个独立验证样本上的ROC-AUC为0.843,准确率为0.800。该模型在多个维度的评价中均表现出优异的综合诊断性能:1)在6-20mm大小的结节亚组(n=100)中,当发病率为10%时,该检测模型灵敏度为100.0%,阴性预测值(NPV)为100.0%;2)在I期肺癌样本中(n=90),该检测模型灵敏度为97.1%;3)当发病率为10%时,对于实性结节(n=78), 该检测模型灵敏度为100.0%,阴性预测值(NPV)为100.0%;对于部分实性结节即混合磨玻璃结节(n=75), 该检测模型灵敏度为94.7%,阴性预测值(NPV)为98.3%;对于非实性结节即纯磨玻璃结节(n=67), 该检测模型灵敏度为96.4%,阴性预测值(NPV)为98.9%;4)对比分析数据显示,在区分恶性肺结节与良性肺结节方面,PulmoSeek模型显著优于PET-CT检查和梅奥模型(Mayo Clinic Model)、退伍军人模型(Veterans Affairs Model)这两种临床常用的肺结节风险评估模型。

PulmoSeek诊断性能及与梅奥模型、VA模型的比较

PulmoSeek在不同大小结节中的性能
PulmoSeek比临床目前常用的PET-CT有更好的诊断效能。独立验证集中包含PET-CT诊断记录的每个患者分别基于PulmoSeek(盒形)和PET-CT(菱形)的对比:绿色表示样品诊断正确,红色表示不正确。PulmoSeek正确识别了实性结节亚型中的8/10例,部分实性结节亚型中的9/11例,磨玻璃结节亚型中的5/5例。PET-CT正确地识别了实性结节亚型中的6/10例,部分实性结节亚型中的7/11例,磨玻璃结节亚型中的0/5例。

PulmoSeek与PET-CT在不同类型结节中的性能比较
研究结果表明:基于血液的cfDNA甲基化标志物分类模型PulmoSeek可作为更好的检测手段来实现肺结节良恶性分类,显著提升肺结节诊断准确率,并为肺结节临床精准诊疗和科学管理提供更有效的决策指导;PulmoSeek无创肺结节良恶性鉴别,仅需8-10mL血液,即可助力肺癌早发现早治疗。

肺癌防治,肺结节的精准诊疗与科学管理尤为重要
据国际癌症研究机构(IARC)发布的GLOBOCAN 2020癌症发病率和死亡率数据显示,全球大约有1930万癌症新发病例和1000万因癌症死亡的病例,其中肺癌是第二大常见的癌症(11.4%),也是导致癌症死亡的第一大原因(18%)。在2020年的全球肺癌新发病例中,约有37%来自中国;而在因肺癌死亡的病例中,约有39.8%来自中国。我国肺癌病例的发现以临床晚期居多,总体5年生存率偏低,不到20.0%。肺癌筛查与早诊早治是降低人群肺癌死亡率的有效措施;其中,肺结节的精准诊疗与科学管理,尤为重要。
肺结节现有诊断方法无法完全满足临床需求

研究团队聚焦肺结节精准诊断难题,持之以恒,成果丰硕
何建行/梁文华教授团队联合基准医疗,从2015年开始切入肺结节精准诊断难题,从诊断标志物发现开始,构建了国内最大的癌症表观组学数据库,建立了基于ctDNA甲基化高通量测序技术的诊断模型并在本院完成了单中心临床验证,研究成果于2019年4月发表在国际知名学术期刊Theranostics。
在此基础上,研究团队于2017年6月启动了14家研究中心参与的前瞻性采样、回顾性盲法评估临床研究“甲基化监测辅助诊断肺结节多中心临床验证研究(NCT03181490)”,并于2019年2月完成受试者入组,研究团队完成了PulmoSeek诊断模型的开发与验证。
研究团队又在钟南山院士领导下,联合23家研究中心,于2018年9月启动全球首个大规模 “ctDNA甲基化高通量检测用于肺部结节良恶性诊断和监测的临床研究(NCT03651986)”,简称“钟声计划”,计划入组10,560例5~30mm肺结节阳性患者,跟踪随访2~3年;各访视点采集临床数据、外周静脉血样、CT/LDCT影像学DICOM数据及诊断报告和/或病理诊断报告及组织样本,以期综合评价“ctDNA甲基化NGS+临床数据+ CT/LDCT影像学AI”复合诊断方案对肺部结节良恶性鉴别诊断和监测的性能及临床价值。该研究方案已于2020年11月正式发表在国际知名学术期刊Translational Lung Cancer Research,并引起国际医学界和学术界的广泛关注和认可。目前,项目已完成全部受试者入组工作,并已有序展开后续随访研究,随访满3年完成研究的受试者按计划也将于今年10月下旬开始陆续出组。
研究团队最近已成功将甲基化检测模型PulmoSeek升级为PulmoSeek Plus。PulmoSeek Plus是全球首个通过联合外周血中肺癌特异性DNA甲基化位点的甲基化水平和肺部结节CT影像学AI分析,经机器学习构建出的联合诊断模型,其综合诊断性能得到进一步提升,实现了对肺结节的良恶性鉴别诊断+高风险肺结节的肺腺癌浸润程度预分期,作为肺结节多学科综合诊疗(MDT)决策参考依据之一,帮助医生为患者选择和制订更合适的诊疗方案。