2025年5月5日,呼吸疾病全国重点实验室、广州医科大学附属第一医院、国家呼吸医学中心、国家呼吸系统疾病临床医学研究中心、广州国家实验室冉丕鑫、周玉民教授团队关于运动心肺试验通气效率异常识别预后不良轻中度慢阻肺病患者的研究成果以“Impaired ventilatory efficiency identifies high-risk mild-to-moderate chronic obstructive pulmonary disease”为题发表于Archivos de Bronconeumología(JCR Q1,IF:8.7)。该研究为临床上识别需要药物治疗的早期患者提供了坚实的理论基础,也为实现个体化干预、避免过度治疗奠定了重要基石,有望推动慢阻肺临床诊疗策略的进一步优化。

【研究背景】
慢阻肺病是全球第三大疾病死亡原因,仅次于心脏病和中风。在我国,40岁以上的慢阻肺病患者人数接近1亿,其中轻中度患者占比高达90%。虽然轻中度患者的症状可能较轻,甚至没有明显不适,但这一阶段却是肺功能下降最快的时期,也是疾病早期干预的关键阶段。此前,该团队已经发现一些药物(如噻托溴铵和N-乙酰半胱氨酸)可以改善轻中度患者的预后。然而,慢阻肺病是一种异质性疾病,不是每个患者都会出现病情进展。如果对所有患者都采用药物治疗,可能会导致过度治疗,甚至带来不必要的副作用。因此,我们需要找到一种方法,能够识别出那些病情可能快速恶化的轻中度患者,从而为他们提供更有针对性的治疗方案。
目前,舒张后FEV1<60%预计值、CAT评分≥10分、mMRC评分≥2分和频繁急性加重为慢阻肺病的可治疗特征。然而,大多数轻中度患者并不符合这些可治疗特征,这意味着我们仍需要进一步完善现有的评估体系,以便更好地识别高风险人群。运动心肺试验是一种能够全面评估人在运动过程中心肺功能的检测方法。它可以帮助我们发现那些在静息状态下不易察觉的早期肺部问题。在这项检查中,有一个重要的指标叫“二氧化碳通气当量”,该指标大于正常值上限提示通气效率异常,与肺部的通气/灌注失衡密切相关。该研究发现通气效率异常可以识别预后不良的高风险患者,进一步完善了慢阻肺病预后分层体系,为实现早期个体化治疗提供重要理论基础。
【研究方法】
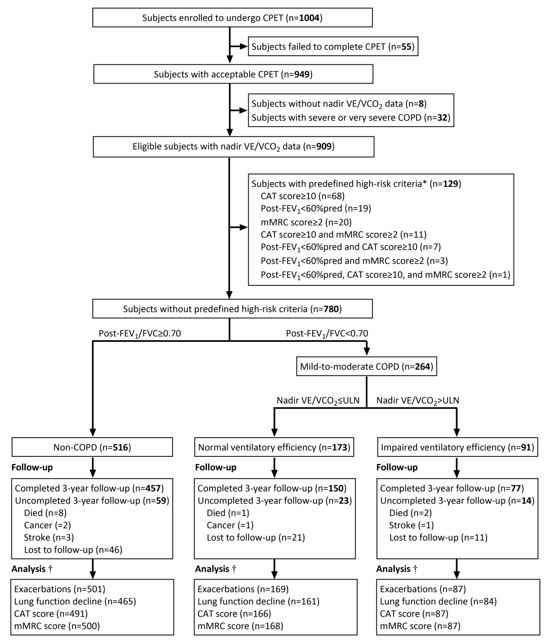
该研究入组了符合条件的非慢阻肺病人群和轻中度慢阻肺病患者,并对他们进行年度肺功能检查和问卷调查,共随访三年。研究在排除那些符合现有可治疗特征患者的前提下,根据运动心肺试验中通气效率是否正常,将轻中度患者分为通气效率正常组和通气效率异常组。同时,非慢阻肺病组作为参照纳入分析。通过比较这三组参与者的肺功能下降速率、急性加重风险和症状评分的差异,揭示通气效率异常在识别轻中度慢阻肺病患者中预后不良亚组中的作用(图1)。

图1 研究设计流程图
【研究结果】
1.通气效率异常患者肺功能下降速率更快:
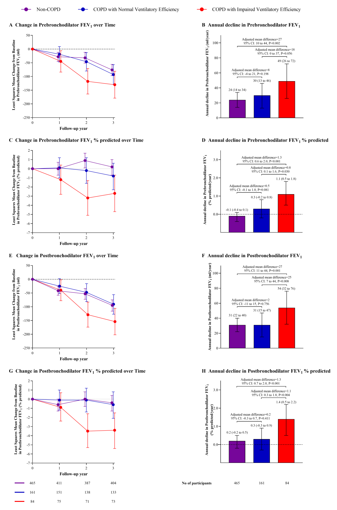
该研究比较了三组人群的肺功能下降速率。结果显示,非慢阻肺病人群的舒张后FEV1每年下降31 mL,通气效率正常的患者每年也下降31 mL,而通气效率异常的患者每年下降54 mL。这说明,通气效率异常的患者肺功能下降速率更快,而通气效率正常的患者和非慢阻肺病人群之间没有太大差别(图2)。其他几个重要的肺功能指标也显示出类似的差异。

图2 组间肺功能下降的差异
2.通气效率异常患者急性加重发生风险更高:
非慢阻肺病人群的中重度急性加重发生率为0.18次/患者年,通气效率正常患者为0.22次/患者年,而通气效率异常患者为0.35次/患者年。通气效率异常患者中重度急性加重发生风险较非慢阻肺病人群高80%,较通气效率正常患者高56%,而通气效率正常患者和非慢阻肺病人群之间没有太大差别(图3)。总急性加重发生风险也显示出类似的差异。

图3 组间急性加重发生率的差异
3.通气效率异常患者症状更严重:
从随访的第二年开始,通气效率异常患者的CAT评分和mMRC评分均显著高于非慢阻肺病人群和通气效率正常患者。这表明,通气效率异常的患者症状更严重。相比之下,非慢阻肺病人群和通气效率正常的患者在这些评分上几乎没有差异,即使到了第三年随访时也是如此(图4)。

图4 组间症状评分的差异
【小 结】
这项研究进一步证实了运动心肺试验在慢阻肺病早期阶段的应用价值,特别是通气效率异常这一指标在识别预后不良的患者亚组中的重要性。这些发现为临床医生提供了依据,帮助他们更准确地识别出需要治疗的高风险患者,从而避免不必要的过度治疗,减少患者的医疗费用和负担。
文章作者与基金资助
广州医科大学附属第一医院邓志珊博士后、吴繁博士后、宛琪硕士为该论文的共同第一作者;钟南山院士、周玉民教授和陈荣昌教授为该论文的资深作者;冉丕鑫教授为该论文的通讯作者。该研究得到了广州国家实验室自立项目(SRPG22-016和SRPG22-018)、呼吸疾病全国重点实验室临床及流行病学研究专项(SKLRD-L-202402)、广州医科大学科研能力提升计划重大临床研究项目(GMUCR2024-01012)和广东省钟南山医学基金会(ZNSXS-20250019)的支持。
致谢——钟南山院士的指导和支持
衷心感谢钟院士在本研究设计和实施过程中给予的悉心指导与宝贵建议,以及对研究结果的高度认可与大力支持。他的专业见解为研究的顺利开展提供了重要指引,也为我们的研究团队注入了信心与动力。

备注:本图片数据来源于该研究2年期随访阶段
致谢——所有参与ECOPD队列研究的受试者
致谢——ECOPD队列研究的所有团队成员
致谢——ECOPD队列的所有分中心
衷心感谢翁源县人民医院、连平县人民医院、周陂镇中心卫生院、周陂镇卫生院礤下分院、江尾镇卫生院、龙仙镇中心卫生院、龙仙镇中心卫生院南浦分院、新江镇中心卫生院、铁龙镇卫生院、陂头镇中心卫生院、忠信镇卫生院、油溪镇卫生院和绣缎镇卫生院为本研究的开展提供的场地、物资与人力支持。
【专家团队介绍】

周玉民 教授
* 广州医科大学附属第一医院
* 主任医师、教授、博士研究生导师、广州医科大学附属第一医院临床研究管理部主任
* 中华医学会预防医学会呼吸病预防与控制专业委员会委员
* 中国医师协会呼吸医师分会研究工作委员会临床研究管理部副组长、广东省医学会呼吸病学分会第七届委员会 COPD 学组成员
* 中华康复医学会呼吸康复专业委员会第二届副主任委员、中华医学会呼吸分会青年委员会委员
* 国家第四批“万人计划”科技创新领军人才、科技部中青年科技创新领军人才
* 主要从事慢性阻塞性肺病早期防控与治疗研究,擅长慢性阻塞性肺病、哮喘、肺部感染等呼吸科常见及疑难疾病的诊断和治疗
* 主持、协助主持和参与国家 973 课题、国家“十五”重大科技攻关、国家“十二五”科技支撑、国家自然科学基金研究、卫生部行业专项和国际合作课题,省部级基金项目 10 余项
* 在 NEJM、BMJ 、 PLoS Medicine 、 Am J Respir Crit Care Med 、 Thorax 、 ERJ 、 Chest 等国际知名医学杂志上发表论文60余篇
* 6篇论文被全球慢阻肺防治指南(GOLD)引用,PLos Medicine文章被国际流行病协会(ISEE)评为全球2014年度最佳流行病学论文,纳入全国统编内科学和呼吸病学教材
* 获得国家科技进步二等奖、国家科技进步奖(创新团队)、中国高校十大科技进展(2017)、教育部“黄大年”式教师团队奖、广东省科技进步一等奖等奖项

邓志珊 博士后
* 广州医科大学附属第一医院博士后,师从冉丕鑫、周玉民教授,研究方向为慢性阻塞性肺疾病
* 以第一、共同第一作者发表SCI论文8篇。