2024年12月7日,广州医科大学附属第一医院何建行/梁文华教授团队,联合腾讯AI lab及全国15个医疗中心的研究者,在国际顶级期刊Lancet Oncology(中国科学院/ JCR一区,IF=41.6)在线发表研究“Deep learning using histological images for gene mutation prediction in lung cancer: a multicentre retrospective study”[1]。该研究开发了一种深度学习驱动的人工智能工具-DeepGEM,实现了无需标注、仅通过常规获取的组织学切片即可预测肺癌患者的基因突变,并在迄今为止数据量最大的多中心数据集上进行了验证。广州医科大学附属第一医院、广州呼吸健康研究院、国家呼吸医学中心何建行教授、梁文华教授,腾讯AI lab专家研究员姚建华博士,中南大学湘雅医院胡成平教授,湖南省肿瘤医院邬麟教授为该论文的共同通讯作者;腾讯AI lab赵宇博士,广州医科大学附属第一医院熊珊博士,腾讯AI lab任琴、王珺,中南大学湘雅医院李敏博士,深圳市人民医院杨林主任为本论文的共同第一作者。(文末添加学术助手发送【学习】获取全文)

【研究背景】
肺癌患者的精准和个性化治疗方案高度依赖于对驱动基因突变的精准检测。然而,常规的基因检测方法(二代测序NGS)需要高质量的组织样本,且检测过程耗时,在晚期急症肺癌患者中的应用受限。此外,由于价格昂贵,导致很多患者,尤其是在资源匮乏地区的患者无法及时获得此项检测。
近些年,随着人工智能的发展,深度学习在预测病理图像中的分子信息方面表现出色,为肺癌患者的精准诊疗提供了新的方法和思路。团队既往的研究成果也发现,特定基因突变类型的肺腺癌表现出高级别病理成分的富集[2]。基于此,团队联合腾讯AI lab及全国15个医疗中心开发了一种人工智能模型来学习基因型-病理表型间的相关性,能够利用常规获取的组织学切片来预测基因突变,为肺癌患者提供了一种高效、经济、及时的基因突变检测新方法。
【研究设计】
团队收集了来自中国16家医院及公共数据库癌症基因组图谱(TCGA)中的肺癌患者数据,纳入的患者均接受了活检和多基因二代测序,组建了迄今为止数据量最大的配对病理图像和多基因突变信息的多中心数据集。模型训练及验证主要由4个队列组成:内验数据集由广州医科大学附属第一医院1716名肺癌患者组成,外验数据集由15家全国多中心的1718例肺癌患者组成,TCGA数据库中的473例患者用于不同人种进一步的验证。此外,使用了来自与内验数据集相同医疗中心但彼此不重叠的患者数据集,以评估模型在淋巴结转移活检样本上的泛化能力。
数据集分为手术活检组和穿刺活检组分别作为输入,以开发基因突变模型DeepGEM。DeepGEM是一种具有标签消歧设计的示例级和袋级联合监督的多示例学习(multi-instance learning, MIL)方法,能高效地从图像中学习信息特征。该模型预测的流程是输入完整的组织学图像,无需额外的注释,DeepGEM即可预测常见突变EGFR、KRAS、ALK、ROS1、TP53、LRP1B每种突变的概率,并输出相应的突变分布的空间基因热图。

【研究结果】
DeepGEM模型在内验数据集中表现出良好的性能:对于切除活检样本,基因突变预测的AUC值范围为0.90(95% CI 0.77–1.00)至0.97(0.93–1.00),准确度值范围为0.91(0.85–0.98)至0.97(0.93–1.00);对于穿刺活检样本,AUC值范围为0.85(0.80–0.91)至0.95(0.86–1.00),准确度值范围为0.79(0.74–0.85)至0.99(0.98–1.00)。

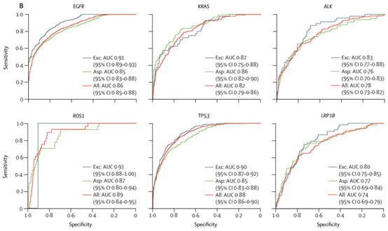
在15家多中心外验数据集中,DeepGEM也表现出良好的预测性能。对于切除活检样本,AUC值范围为0.80(95% CI 0.75–0.85)至0.91(0.88–1.00),准确度值范围为0.79(0.76–0.82)至0.95(0.93–0.96);对于穿刺活检样本,AUC值范围为0.76(0.70–0.83)至0.87(0.80–0.94),准确度值范围为0.76(0.74–0.79)至0.97(0.96–0.98)。


在TCGA数据集(473名患者;535幅切片)上DeepGEM也表现出优异的性能,AUC值范围为0.82(95% CI 0.71–0.93)至0.96(0.91–1.00),准确度值范围为0.79(0.70–0.88)至0.95(0.90–1.00),体现了DeepGEM在不同背景人种间的泛化能力。

此外,使用以上三个数据集将 DeepGEM 模型与现有的基于 AI 的基因突变预测方法DeepPATH[3]、MIL-RNN[4]、CLAM[5]、TOAD[6]进行比较时,DeepGEM 模型均表现出了卓越的性能(下图分别为内验、TCGA、外验数据集多方法对比的结果)。

DeepGEM模型在原发区域活检样本训练后,能够泛化至淋巴结转移活检样本,对EGFR突变预测的AUC范围为0.91(95% CI 0.88–0.94),对KRAS突变预测的AUC范围为0.88(0.82–0.93),准确度值分别为0.85(0.80–0.88)和0.95(0.92–0.96)(Figure 2A)。与此同时,通过比较不同EGFR突变预测概率值患者的远期生存,发现使用DeepGEM预测EGFR突变概率高的患者预后显著优于预测EGFR突变概率低组,展现了DeepGEM预测靶向治疗预后的潜力(Figure 2B)

此外,该模型可以生成基因突变的空间分布热图[7],用以揭示突变的空间分布特征,进一步对图像进行了免疫组化染色,发现DeepGEM预测的高突变概率和免疫组化染色的图像一致(见下图,图源2024WCLC_OA03.05)。对生成的空间基因热图中高预测值区域的组织学特点分析表明,特定基因突变的组织学特征与特定的组织亚型相关(Figure 3)。例如,EGFR 突变相关的高预测值区域以乳头状和腺泡成分富集为特征,而ALK、KRAS、ROS1、TP53 和 LRP1B 突变相关的高预测值区域则以实性成分富集为主。


【总结展望】
团队开发了一种基于人工智能的方法DeepGEM,能够提供准确、及时且经济的基因突变及其空间分布的预测。与以往的研究相比,DeepGEM在多种基因突变的预测上展现了稳健且卓越的性能,并且在迄今为止数据量最大的多中心数据集上进行了验证。DeepGEM的快速预测能力使得治疗决策能够更迅速地制定,从而让病情严重的患者能够及时接受靶向治疗。此外,它还为经济不发达地区提供了一种在基因检测成本高昂的情况下进行多基因突变检测和精准治疗的可能性。这种创新的辅助工具不仅展示了人工智能在医学领域的应用潜力,也为肺癌患者提供了更为便捷和经济的基因突变检测手段,有望改善全球肺癌患者的诊断和治疗体验。
参考文献:
1. Zhao Y, Xiong S, Ren Q, Wang J, Li M, Yang L, et al. Deep learning using histological images for gene mutation prediction in lung cancer: a multicentre retrospective study. The Lancet Oncology 2024. doi: https://doi.org/10.1016/S1470-2045(24)00599-0.
2. Li J, Xiong S, He P, Liang P, Li C, Zhong R, et al. Spatial whole exome sequencing reveals the genetic features of highly-aggressive components in lung adenocarcinoma. Neoplasia 2024;54:101013. doi: 10.1016/j.neo.2024.101013.
3. Coudray N, Ocampo PS, Sakellaropoulos T, Narula N, Snuderl M, Fenyo D, et al. Classification and mutation prediction from non-small cell lung cancer histopathology images using deep learning. Nat Med 2018;24:1559-1567. doi: 10.1038/s41591-018-0177-5.
4. Campanella G, Hanna MG, Geneslaw L, Miraflor A, Werneck Krauss Silva V, Busam KJ, et al. Clinical-grade computational pathology using weakly supervised deep learning on whole slide images. Nature Medicine 2019;25:1301-1309. doi: 10.1038/s41591-019-0508-1.
5. Lu MY, Williamson DFK, Chen TY, Chen RJ, Barbieri M, Mahmood F. Data-efficient and weakly supervised computational pathology on whole-slide images. Nature Biomedical Engineering 2021;5:555-570. doi: 10.1038/s41551-020-00682-w.
6. Lu MY, Chen TY, Williamson DFK, Zhao M, Shady M, Lipkova J, et al. AI-based pathology predicts origins for cancers of unknown primary. Nature 2021;594:106-110. doi: 10.1038/s41586-021-03512-4.
7. 2024 the IASLC World Conference on Lung Cancer. 2024WCLC_OA03.05 #1453 Abstract Title: Deep Muitiple Instance Learning-enabled Gene Mutation Prediction of Lung Cancer from Histopathology Images