
近期,由国家呼吸系统疾病临床医学研究中心、广州呼吸健康研究院关伟杰研究员等全国学者共同组织牵头的妥布霉素吸入溶液治疗伴铜绿假单胞细菌(PA)感染的支气管扩张症(简称“支扩症”)III期临床研究试验结果在国际权威医学期刊《Chest》(美国胸科医师学会的官方刊物)发表。该研究为目前支扩症全球最大样本量(357例)的全国33家中心协同合作的临床研究,率先针对雾化吸入抗生素治疗支扩的临床试验采用了双研究终点(细菌负荷+生活质量)。结果显示:对伴PA感染的支扩症患者,妥布霉素雾化吸入治疗可显著降低痰液PA负荷,减少24小时痰量,降低痰脓性评分,并显著改善患者的生活质量。
支扩症是一种不可完全逆转的慢性气道炎症性疾病。近年来,全球报道的支扩发病率和患病率逐渐升高。根据2021年《中国成人支气管扩张症诊断与治疗专家共识》中流行病学的阐述,截至2013年英国人群的支扩发病率增长至31.1/10万人,患病率增长至525.8/10万人;西班牙人群2012年支扩发病率约为48.1/10万人;美国成人支扩患病率约139/10万人。于2013年的一项流行病学电话调查研究结果显示,我国支扩患病率达1.2%,且男性患病率(1.5%)高于女性(1.1%),提示支扩在我国属于常见病,远高于国外流行病学水平。
PA是成人支扩患者感染最主要的病原菌之一,伴有PA定植/感染支扩患者的死亡率相对于没有PA定植/感染的患者高出了3倍,急性加重风险和住院风险也明显更高,给患者及医疗系统带来了沉重的负担。有效清除PA定植是减缓支扩症进展的关键。静脉或口服抗生素因易产生耐药性和全身毒性,不适合长期使用;雾化吸入抗生素可以显著增加药物在气道的有效浓度,减少全身暴露,并将细菌耐药概率降至最低,是目前国外治疗支扩症的有效新选择。因此,《欧洲呼吸学会成人支气管扩张症管理指南》和《英国胸科医师协会成人支气管扩张症指南》均推荐:慢性PA感染或定植的支扩症患者,可使用吸入抗生素治疗3个月以促进PA的清除。我国最新版本的专家共识也推荐对PA感染或定值的患者,给予雾化吸入抗生素进行长期治疗。
目前,吸入抗生素治疗在我国仍处于空白状态。在国际上,妥布霉素吸入溶液虽已上市,但仅用于治疗囊性纤维化(西方国家常见的常染色体隐性遗传病,在亚洲人种中罕见发病;肺部临床表现与支扩高度相似)患者的肺部感染。囊性纤维化与支扩患者均会因肺部定植PA而导致反复发生感染。妥布霉素吸入溶液针对囊性纤维化和支扩的治疗机制相同,且给药途径和用法用量亦相同。因此,本项III期研究旨在探究妥布霉素吸入溶液(简称TIS)治疗伴PA感染的支扩症在中国人群中的有效性及安全性。
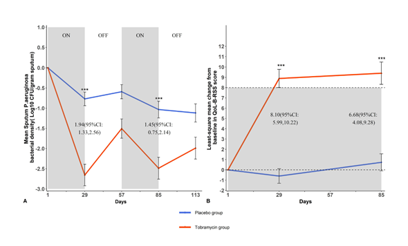
本临床试验共纳入了357例伴有PA感染的支扩症患者,随机分配至妥布霉素组(167例)和安慰剂组(172例)。两组均接受基础治疗,包括:1)祛痰药(氨溴索30mg,每天三次;不耐受氨溴索者改用N-乙酰半胱氨酸0.6g,每天两次);2)胸部物理排痰每天一次,每次5分钟。在此基础上,安慰剂组给予生理盐水5ml,每日2次雾化吸入;妥布霉素组给予TIS 300 mg/5ml,每日2次雾化吸入。两组均采用用药28天-停药28天,共两个周期的治疗,总研究周期为16周。主要研究终点为接受治疗后第29天痰液PA的负荷和支气管扩张生活质量呼吸症状维度评分(QOL-B-RSS评分)较基线的改变量。
结果显示:双主要疗效终点指标,妥布霉素组均显示出优效性。与安慰剂组相比,妥布霉素组患者在治疗后第29天痰液PA的负荷较基线显著降低(均值:2.50 vs. 0.76 Log10CFU/g, P<0.001),QOL-B-RSS评分较基线的改变量显著提高(均值:8.48 vs. 0.56, P<0.001)。妥布霉素组不良事件发生率(81.6%)与安慰剂组(81.5%)相当,妥布霉素组发生呼吸困难和呼吸急促的不良事件很少(分别仅2.2%和1.1%),表明妥布霉素吸入溶液诱发气道痉挛的概率极低。因此,妥布霉素吸入溶液可有效降低支扩患者气道内的PA负荷、提高PA清除率,显著改善支扩患者的生活质量,安全性和耐受性良好。

图1 双指标疗效结果
1、将改变中国支扩患者无雾化抗生素可用的现状:妥布霉素吸入溶液是中国首个用于治疗支扩症的雾化吸入抗生素,是专为中国患者研发的改良型新药。填补了伴PA感染的中国支扩症患者吸入治疗的空白。
2、双终点设置使得试验结果更反映给患者带来的临床获益:与其他吸入抗生素治疗支扩的临床研究不同的是,本研究首次整合了细菌负荷下降以及生活质量改善作为主要研究终点。QOL-B-RSS评分可较好体现妥布霉素吸入溶液给药后支扩症患者主要呼吸症状(如咳嗽频率、痰液量和化脓)的改善,但既往试验中生活质量评价从未被列为主要研究终点。本研究首创取得了细菌负荷下降以及生活质量改善的共同目标,试验结果可信度高,妥布霉素吸入治疗可真正使得患者获益。
3、将为临床抗菌治疗提供新选择:妥布霉素III期试验的双阳性结果,也为其他类型伴PA感染的肺炎(如伴铜绿假单胞菌感染的呼吸机相关肺炎)的治疗提供了新的思路。
文章作者信息:
第一作者:关伟杰(广州医科大学附属第一医院)、徐金富(上海肺科医院)、罗红(中南大学湘雅二医院)、徐兴祥(苏北人民医院)、宋元林(复旦大学附属中山医院)、马万里(华中科技大学同济医学院附属协和医院)
其他作者:梁宗安(四川大学华西医院)、刘学东(青岛市市立医院)、张国俊(郑州大学第一附属医院)、张晓菊(河南省人民医院)、李荣凯(新乡市第一人民医院)、朱述阳(徐州医科大学附属医院)、张祎捷(河南大学淮河医院)、蔡兴俊(海南省人民医院)、魏立平(广州医科大学附属第三医院)、田东波(清远市人民医院)、赵卉(安徽医科大学附属第二医院)、陈平雁(南方医科大学)、瞿介明(上海交通大学医学院附属瑞金医院)
为了支扩患者的健康和明天,
衷心感谢支持研究的各个单位以及所有研究受试者。